
У поминальний день в Умані їздитимуть додаткові пільгові рейси
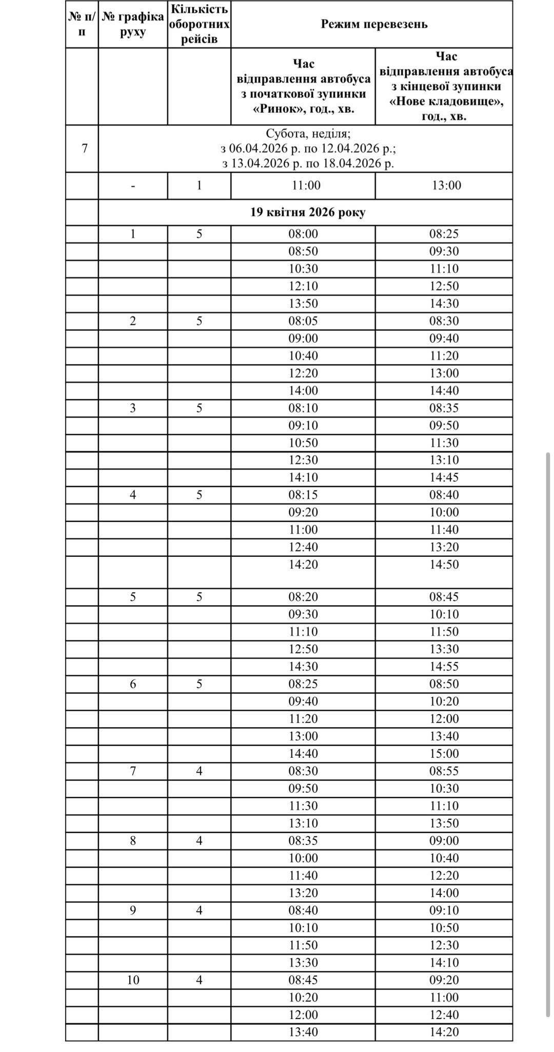
В Умані у поминальний день їздитимуть додаткові пільгові рейси за маршрутом №19 «Ринок – Нове кладовище».
Про це повідомили в Уманській міській раді.
Як йдеться в дописі, з 6 до 18 квітня маршрутки на рейсі курсують щоденно за графіком:
- від зупинки «Ринок» – 11:00;
- від зупинки «Нове кладовище» – 13:00.
У міській раді додали, що 19 квітня запроваджують 10 додаткових рейсів. Вони рухатимуться з 08:00 до 14:40, а інтервал руху – кожні 5 хвилин.

Графік руху автобусів. Фото: Уманська міська рада
Нагадаємо, що у поминальний день, 19 квітня, тролейбуси до кладовищ у Черкасах курсуватимуть безоплатно. Водночас деякі автобуси тимчасово змінять свій маршрут.
Читайте на сайті 18000: «Новини Черкаси» — що відбувається в місті та області. Без маніпуляцій та неперевіреної інформації. Підписуйся на телеграм‐канал 18000 | «Шо там у Черкасах?»


